| Data File(s) | Type | Description | Action |
|---|---|---|---|
Tp_cyclostat.csv (5.17 KB) | Comma Separated Values (.csv) | Primary data file for dataset ID 746398 | |
| Supplemental File(s) | Type | Description | Action |
Laws_schematic_CO2.png (75.39 KB) ![]() | Portable Network Graphics (.png) | Schematic of CO2 amendment and distribution. | |
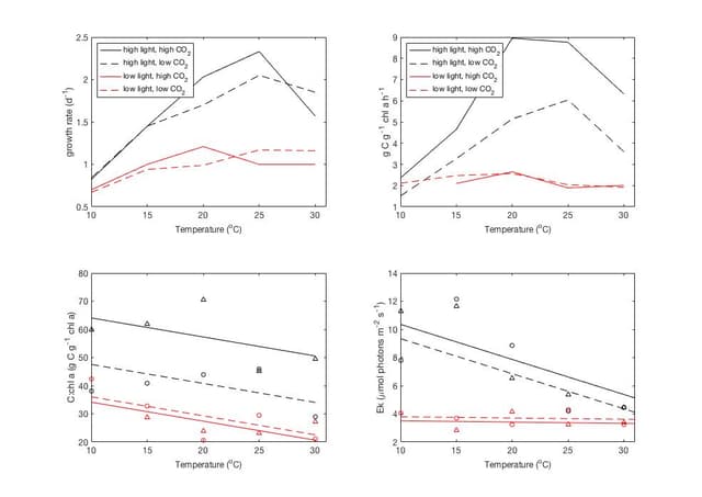
Tpseudoresults_2018-08.jpg (61.13 KB) ![]() | JPEG Image (.jpg) | Plotted results of Thalassiosia pseudonana CO2 and light experiments |
Files
Type: Comma Separated Values (.csv)
Description: Primary data file for dataset ID 746398
Supplemental Files
Type: Portable Network Graphics (.png)
Description: Schematic of CO2 amendment and distribution.

Type: JPEG Image (.jpg)
Description: Plotted results of Thalassiosia pseudonana CO2 and light experiments



